Calculo Diferencial
LÍMITES Y OPTIMIZACIÓN EN CÁLCULO
Los límites y la optimización son temas esenciales del cálculo porque permiten comprender y aprovechar los cambios que ocurren en diferentes fenómenos. El límite sirve para analizar cómo se comporta una función cuando la variable se acerca a un punto determinado, y a partir de este concepto se define la derivada, que mide la rapidez con la que cambia una cantidad.

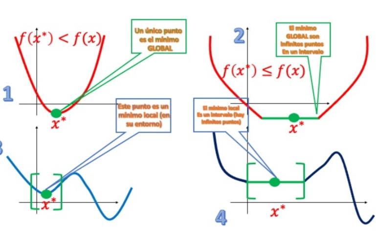
Por otro lado, la optimización utiliza las derivadas para encontrar los valores que hacen que una función
alcance su punto más alto o más bajo, es decir, su máximo o su mínimo.
Este proceso es muy importante en distintos campos: en física se usa para minimizar energía o tiempo,
en economía para maximizar ganancias y reducir costos, y en ingeniería para diseñar estructuras o
procesos más eficientes.
En conjunto, los límites y la optimización permiten estudiar el comportamiento de las funciones y
aplicar el cálculo para resolver problemas reales de manera precisa y eficaz.